
Учебник «Химия» для 10 класса, написанный Габриеляном и Остроумовым, является надежным и современным пособием, которое помогает старшеклассникам углубить свои знания в области химии. Книга отличается четкой структурой, логичным изложением материала и наглядными иллюстрациями, что способствует лучшему усвоению сложных тем. В ней рассматриваются ключевые концепции, такие как органическая и неорганическая химия, а также основы химической кинетики и термодинамики. Учебник не только помогает подготовиться к экзаменам, но и вдохновляет на дальнейшее изучение науки, делая процесс обучения увлекательным и доступным для каждого ученика.
ГДЗ по Химии 10 Класс Параграф 12 Вопрос 5 Габриелян, Остроумов — Подробные Ответы
В двух пробирках находятся растворы этилового спирта и глицерина. Как их различить?
Глицерин и этанол можно отличить с помощью свежеприготовленного раствора гидроксида меди (II):
2NaOH + CuSO₄ → Na₂SO₄ + Cu(OH)₂↓
Когда в раствор добавляется глицерин, происходит растворение осадка гидроксида меди (II), при этом образуется синий раствор.
(Глицерин + Гидроксид меди → Глицерат меди + Вода)
Если проделать то же самое с этанолом, ничего не произойдет.
Как отличить многоатомный спирт от одноатомного?
В органической химии существует классический способ «узнать в лицо» многоатомные спирты (такие как глицерин) и отличить их от обычного медицинского спирта (этанола). Для этого используется качественная реакция с гидроксидом меди (II).
Здесь работает простое правило: если в молекуле несколько групп -OH стоят у соседних атомов углерода, они могут «зажать» атом меди в свои объятия, образуя красивое комплексное соединение.
Шаг 1: Готовим реактив
Гидроксид меди (II) — вещество капризное, оно быстро портится при хранении. Поэтому для опыта его всегда получают прямо перед использованием («in situ»).
Для этого смешиваем щелочь и соль меди:
2NaOH + CuSO₄ → Na₂SO₄ + Cu(OH)₂↓
Что мы видим: В пробирке выпадает объемистый осадок небесно-голубого цвета. Это и есть наш главный «детектив».
Шаг 2: Проводим тест
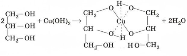
Вариант А: Глицерин (Многоатомный спирт)
Когда мы добавляем глицерин к голубому осадку и встряхиваем пробирку, происходит маленькое химическое чудо: мутный осадок исчезает, а жидкость становится прозрачной и окрашивается в глубокий, насыщенный ярко-синий (васильковый) цвет.
Суть процесса:
Две молекулы глицерина «окутывают» атом меди, образуя циклическое соединение — глицерат меди (II).
Уравнение реакции:
(Глицерин + Гидроксид меди → Глицерат меди + Вода)
Вариант Б: Этанол (Одноатомный спирт)
Если проделать то же самое с этанолом, ничего не произойдет. Голубой осадок просто будет лежать на дне, так как у этанола всего одна группа -OH, и он не способен образовать устойчивое комплексное кольцо с медью.
Зачем это знать?
Эта реакция — самый быстрый способ доказать, что перед вами именно глицерин, этиленгликоль или сорбит. Главное условие — наличие как минимум двух гидроксильных групп у соседних атомов углерода. Если они есть, медь обязательно «откликнется» ярким цветом!

Любой навык лучше отрабатывать самостоятельной практикой, и решение задач — не исключение. Прежде чем обратиться к подсказкам, стоит попробовать справиться с заданием, опираясь на свои знания. Если дойти до конца удалось — проверить ответ и в случае расхождений сверить своё решение с правильным.



Оставь свой отзыв 💬
Комментариев пока нет, будьте первым!