
Учебник «Химия» для 10 класса, написанный Габриеляном и Остроумовым, является надежным и современным пособием, которое помогает старшеклассникам углубить свои знания в области химии. Книга отличается четкой структурой, логичным изложением материала и наглядными иллюстрациями, что способствует лучшему усвоению сложных тем. В ней рассматриваются ключевые концепции, такие как органическая и неорганическая химия, а также основы химической кинетики и термодинамики. Учебник не только помогает подготовиться к экзаменам, но и вдохновляет на дальнейшее изучение науки, делая процесс обучения увлекательным и доступным для каждого ученика.
ГДЗ по Химии 10 Класс Параграф 13 Вопрос 2 Габриелян, Остроумов — Подробные Ответы
Как взаимное влияние фенильного радикала и гидроксильной группы отражается на свойствах фенола? Ответ проиллюстрируйте уравнениями химических реакций.
В молекуле фенола гидроксильная группа соединена с ароматическим радикалом, и взаимодействие этих двух частей молекулы оказывает сильное влияние друг на друга. Это приводит к приобретению вещества уникальных свойств, которые отличают его как от спиртов, так и от аренов.
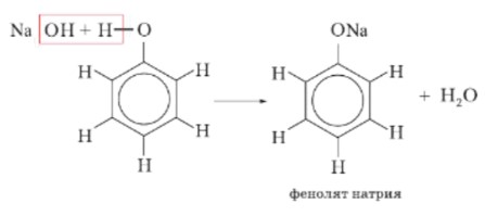
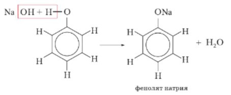
Влияние ароматического радикала –C₆H₅ на гидроксильную группу проявляется в значительном усилении её кислотных свойств. Поэтому фенол, в отличие от спиртов, реагирует с щелочами:
C₆H₅OH + NaOH → C₆H₅ONa + H₂O
Гидроксильная группа оказывает влияние на ход реакций, происходящих по ароматическому кольцу. Например, в реакции с бромной водой процесс идет по трем положениям:
C₆H₅OH + 3Br₂ → C₆H₂Br₃OH↓ + 3HBr
Фенол — это удивительный пример того, как две части молекулы, соединяясь, полностью меняют характер друг друга. В химии это называется взаимным влиянием атомов, и в случае с фенолом оно работает в обе стороны, как двустороннее движение.
Ниже представлен подробный разбор того, как именно это влияние отражается на поведении вещества.
1. Влияние кольца на гидроксильную группу (Кислотность)
В обычных спиртах (например, в этаноле) группа -OH ведет себя довольно пассивно. Но в феноле всё иначе. Бензольное кольцо — это мощная система сопряженных связей, которая работает как «электронный пылесос».
- Механизм: Ароматический радикал фенил (-C₆H₅) оттягивает на себя электронную плотность от атома кислорода.
- Результат: Связь между кислородом и водородом (O-H) становится очень полярной и хрупкой. Атому водорода становится гораздо проще «отделиться» от молекулы в виде протона (H⁺).
Именно поэтому фенол проявляет выраженные кислотные свойства (его даже называют карболовой кислотой). В то время как обычные спирты не реагируют со щелочами, фенол делает это легко.
Уравнение реакции:
C₆H₅OH + NaOH → C₆H₅ONa + H₂O
(Фенол + Гидроксид натрия → Фенолят натрия + Вода)
2. Влияние гидроксильной группы на кольцо (Активность замещения)
Это «обратная связь». Группа -OH не только отдает электроны под давлением кольца, но и сама активно влияет на него, «подзаряжая» его энергией.
- Механизм: Неподеленная электронная пара атома кислорода вступает во взаимодействие с облаком бензольного кольца. Электронная плотность в кольце резко повышается, причем неравномерно — она концентрируется в положениях 2, 4 и 6 (их называют орто- и пара-положениями).
- Результат: Бензольное кольцо в феноле становится в разы активнее, чем в обычном бензоле. Если для бромирования бензола нужны катализаторы и чистый бром, то фенол реагирует даже с разбавленной бромной водой мгновенно.
Уравнение реакции:
C₆H₅OH + 3Br₂ → C₆H₂Br₃OH↓ + 3HBr
(Фенол + Бромная вода → 2,4,6-трибромфенол + Бромоводород)
При этой реакции выпадает характерный белый осадок, что служит качественным признаком фенола.

Любой навык лучше отрабатывать самостоятельной практикой, и решение задач — не исключение. Прежде чем обратиться к подсказкам, стоит попробовать справиться с заданием, опираясь на свои знания. Если дойти до конца удалось — проверить ответ и в случае расхождений сверить своё решение с правильным.




Оставь свой отзыв 💬
Комментариев пока нет, будьте первым!