
Учебник «Химия» для 10 класса, написанный Габриеляном и Остроумовым, является надежным и современным пособием, которое помогает старшеклассникам углубить свои знания в области химии. Книга отличается четкой структурой, логичным изложением материала и наглядными иллюстрациями, что способствует лучшему усвоению сложных тем. В ней рассматриваются ключевые концепции, такие как органическая и неорганическая химия, а также основы химической кинетики и термодинамики. Учебник не только помогает подготовиться к экзаменам, но и вдохновляет на дальнейшее изучение науки, делая процесс обучения увлекательным и доступным для каждого ученика.
ГДЗ по Химии 10 Класс Параграф 16 Вопрос 1 Габриелян, Остроумов — Подробные Ответы
Какие вещества называют сложными эфирами? Как можно записать общую формулу жиров? Можно ли говорить о гомологических рядах жиров?
Сложные эфиры — это производные карбоновых кислот, в которых атом водорода карбоксильной группы заменяется углеводородным радикалом.
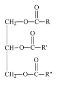
Жиры — это сложные эфиры глицерина и высших карбоновых кислот. Общая формула жиров:
Поскольку в молекулу жира входят фрагменты веществ разных классов (кислот и спиртов), то они образуют однородный правильный гомологический ряд.
Сложные эфиры — это группа органических соединений, образующихся в результате реакции между кислотами и спиртами. Процесс образования сложных эфиров называется этерификацией. В случае с карбоновыми кислотами, атом водорода в карбоксильной группе (-COOH) заменяется на углеводородный радикал от спирта. Это приводит к образованию молекулы сложного эфира, где углеводородный радикал соединен с кислородом, который, в свою очередь, связан с углеродом, входящим в состав карбоксильной группы.
Общая формула жиров:
Жиры представляют собой особую группу сложных эфиров, которые получаются в результате реакции между глицерином (триглицерином) — многоатомным спиртом, и высшими карбоновыми кислотами (например, пальмитиновой, олеиновой и стеариновой кислотами). В формуле жира углеводородные радикалы, которые присоединяются к кислороду, могут быть одинаковыми или различными, что даёт разнообразие в составе жиров. Общая формула жиров выглядит следующим образом:
где:
- CH₂ — группа, принадлежащая глицерину (триглицерину).
- C — углерод в карбоксильной группе (связь с углеводородным радикалом).
- R, R’, R» — углеводородные радикалы, которые происходят от высших карбоновых кислот.
Эти радикалы могут быть одинаковыми (например, в случае использования одной и той же кислоты для всех трёх связей), либо различными, если используются разные кислоты.
Почему нельзя говорить о гомологических рядах жиров?
Гомологический ряд — это последовательность химических соединений, где каждый следующий элемент ряда отличается от предыдущего на одну или несколько одинаковых групп (например, CH₂). Это отличие приводит к регулярному изменению свойств веществ, что характерно для гомологических рядов, таких как углеводороды (например, метан, этан, пропан и т.д.).
Однако в случае с жирами такая регулярность не наблюдается. В молекуле жира присутствуют фрагменты, которые принадлежат разным классам веществ: с одной стороны, это углеводородные радикалы от высших карбоновых кислот, с другой — глицерин, который является спиртом. Эти фрагменты не следуют одной и той же регулярной структуре и не образуют строгого последовательного ряда, характерного для гомологов. Таким образом, молекулы жиров не могут образовывать гомологический ряд в полном смысле этого термина, так как их строение и свойства зависят от комбинации разных классов веществ.

Любой навык лучше отрабатывать самостоятельной практикой, и решение задач — не исключение. Прежде чем обратиться к подсказкам, стоит попробовать справиться с заданием, опираясь на свои знания. Если дойти до конца удалось — проверить ответ и в случае расхождений сверить своё решение с правильным.



Оставь свой отзыв 💬
Комментариев пока нет, будьте первым!