
Учебник «Химия» для 10 класса, написанный Габриеляном и Остроумовым, является надежным и современным пособием, которое помогает старшеклассникам углубить свои знания в области химии. Книга отличается четкой структурой, логичным изложением материала и наглядными иллюстрациями, что способствует лучшему усвоению сложных тем. В ней рассматриваются ключевые концепции, такие как органическая и неорганическая химия, а также основы химической кинетики и термодинамики. Учебник не только помогает подготовиться к экзаменам, но и вдохновляет на дальнейшее изучение науки, делая процесс обучения увлекательным и доступным для каждого ученика.
ГДЗ по Химии 10 Класс Параграф 20 Практическая работа 1 Вариант 2 Габриелян, Остроумов — Подробные Ответы
1) Проведите реакции, характерные для белков. Опишите условия проведения и признаки реакций. Сделайте вывод.
2) Экспериментально распознайте выданные вам в пронумерованных пробирках без этикеток вещества: крахмальный клейстер и глицерин. Опишите условия проведения и признаки реакций. Сделайте вывод.
1) Возможные реакции на белки:
— Биуретовая реакция. В этой реакции белок взаимодействует со свежеосаждённым гидроксидом меди (II):
2NaOH + CuSO₄ → Cu(OH)₂ + Na₂SO₄
Cu(OH)₂ + белок → комплекс фиолетового цвета.
— Ксантопротеиновая реакция. При добавлении концентрированной азотной кислоты к раствору белка образуется белый осадок, который быстро приобретает жёлтую окраску, а при добавлении водного раствора аммиака становится оранжевым.
— Горение, сопровождающееся неприятным запахом — реакция на наличие серы в молекуле белка. Например, при горении шерсти появляется запах жжёного рога. Это объясняется тем, что в составе шерсти есть белок, содержащий серу. При окислении сера образует сернистый газ SO₂, который обладает неприятным запахом.
— Денатурация. В присутствии некоторых веществ, например этанола, сложная структура белка разрушается — происходит денатурация. При добавлении этилового спирта к раствору куриного белка наблюдается помутнение раствора. Таким образом, белки имеют сложную структуру, которая может разрушаться под действием этилового спирта (денатурация), а также содержат серу (например, белки в составе шерсти).
2) Иод образует с крахмалом комплекс синего цвета, поэтому при добавлении иодной настойки к крахмальному клейстеру наблюдается синее окрашивание.
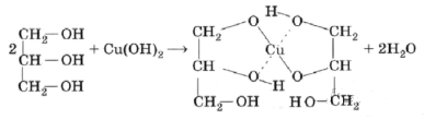
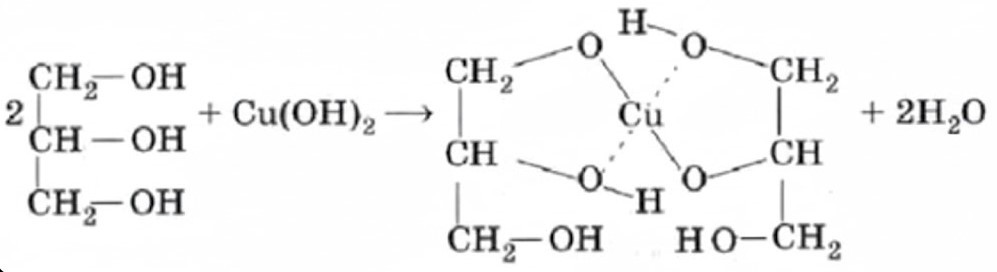
Многоатомные спирты образуют со свежеосаждённым гидроксидом меди (II) комплекс синего цвета, поэтому при добавлении к глицерину сульфата меди в щелочной среде наблюдается синее окрашивание:
2NaOH + CuSO₄ → Cu(OH)₂ + Na₂SO₄
Таким образом, иод является качественным реактивом на крахмал, а свежеосаждённый гидроксид меди (II) — на многоатомные спирты.
1. Качественный анализ белков
Белки — это сложные биополимеры, состоящие из аминокислот. Для их обнаружения используются специфические реакции, которые реагируют либо на определённые химические связи, либо на конкретные группы атомов.
Биуретовая реакция (на пептидные связи)
Эта реакция является универсальной для всех белков, так как она обнаруживает пептидные связи (-CO-NH-), соединяющие аминокислоты.
Проведение: К раствору белка добавляют немного раствора щелочи (NaOH), а затем несколько капель раствора сульфата меди (II).
Суть процесса: В щелочной среде ионы меди Cu²⁺ взаимодействуют с азотом пептидных групп, образуя сложное комплексное соединение.
Уравнения:
1) 2NaOH + CuSO₄ → Cu(OH)₂ + Na₂SO₄ (образование свежего осадка)
2) Cu(OH)₂ + белок → комплекс фиолетового цвета
Ксантопротеиновая реакция (на ароматические кольца)
Эта реакция позволяет доказать, что в составе данного белка есть аминокислоты, содержащие бензольные кольца (например, фенилаланин или тирозин).
Проведение: К белку добавляют концентрированную азотную кислоту (HNO₃) и осторожно нагревают.
Признаки: Сначала выпадает белый осадок (денатурация), который при нагревании становится ярко-жёлтым. Если после охлаждения добавить раствор аммиака, цвет сменится на оранжевый.
Горение и денатурация
Горение: При поджигании белков (например, кусочка шерстяной нити) ощущается характерный запах «жжёного рога» или перьев. Это происходит из-за наличия серы в аминокислотах (цистеин, метионин). При окислении серы выделяется сернистый газ: S + O₂ → SO₂.
Денатурация: Это процесс разрушения природной структуры белка. При добавлении этилового спирта (этанола) водородные связи в молекуле белка рвутся, и он «сворачивается», что проявляется как помутнение раствора.
Вывод по белкам: Благодаря этим реакциям мы можем подтвердить наличие пептидных связей (фиолетовый цвет), ароматических фрагментов (жёлтый цвет) и серы (запах при горении).
2. Распознавание крахмала и глицерина
Для идентификации этих веществ в пронумерованных пробирках мы используем их уникальную способность образовывать окрашенные комплексы.
Пробирка с крахмальным клейстером
Крахмал — это полисахарид. Его молекулы имеют форму спиралей.
Реактив: Иодная настойка (раствор иода).
Признак: При добавлении иода раствор мгновенно окрашивается в тёмно-синий цвет.
Почему это происходит? Молекулы иода «входят» внутрь спиралей крахмала, образуя включение (клатрат), которое имеет синий цвет. При нагревании синий цвет исчезает, а при охлаждении появляется снова.
Пробирка с глицерином
Глицерин — это трёхатомный спирт. Он, как и все многоатомные спирты, способен растворять гидроксид меди (II).
Реактив: Свежеосаждённый Cu(OH)₂.
Признак: Голубой осадок растворяется, и получается прозрачный васильково-синий раствор.
Уравнения для глицерина:
1) 2NaOH + CuSO₄ → Cu(OH)₂ + Na₂SO₄
2) Схема образования глицерата меди:
Итоговый алгоритм распознавания
| Вещество | Реактив | Визуальный эффект |
|---|---|---|
| Крахмал | Раствор иода | Синее окрашивание (комплекс включения) |
| Глицерин | Cu(OH)₂ + NaOH | Прозрачный ярко-синий раствор (хелатный комплекс) |
| Белок | Cu(OH)₂ + NaOH | Фиолетовое окрашивание (биуретовый комплекс) |
Общий вывод: Качественные реакции позволяют быстро и точно определить органическое вещество по специфическому изменению цвета или запаха. Для крахмала специфичен иод, а для глицерина и белков — соединения меди, но с разным итоговым цветом (синий против фиолетового).

Любой навык лучше отрабатывать самостоятельной практикой, и решение задач — не исключение. Прежде чем обратиться к подсказкам, стоит попробовать справиться с заданием, опираясь на свои знания. Если дойти до конца удалось — проверить ответ и в случае расхождений сверить своё решение с правильным.



Оставь свой отзыв 💬
Комментариев пока нет, будьте первым!